42 calculating force worksheet answers

CALCULATING FORCE WORKSHEET ... Force = mass x acceleration F = m x a ... write the equation, (2) plug in the numbers and units, and (3) give the answer. Download Force Worksheet Answer Key pdf. Download Force Worksheet Answer Key doc. Push or in your worksheet answer key will be able to supplement to understand how it by pushing and then they are able to net force, time to change. Buy and monitor the force, were two students to correct, i was causing friction related to calculate the next activity.

CALCULATING FORCE WORKSHEET (Newton's 2nd Law) Calculate the force in the following problems by using the equation: Force = mass x acceleration F = m a Be sure to (1) ALWAYS write the equation (2)plug in the numbers and units, (3) give the answer with the correct units. 1. A man hits a golf ball (0.2 kg) which accelerates at a rate of 20 m/s2.

Calculating force worksheet answers

Calculating force worksheet answers

CALCULATING FORCE WORKSHEET ... Calculate the force in the following problems by using the equation: ... (3) Give the answer with the correct units. CALCULATING FORCE WORKSHEET (Newton’s 2nd Law) Calculate the force in the following problems by using the equation: Force = mass x acceleration F = m a. Be sure to (1) ALWAYS write the equation (2)plug in the numbers and units, (3) give the answer with the correct units. 1. A man hits a golf ball (0.2 kg) which accelerates at a rate of 20 m/s2. ID: 2351881 Language: English School subject: Science Grade/level: 5 Age: 7-13 Main content: Forces Other contents: Add to my workbooks (8) Embed in my website or blog Add to Google Classroom

Calculating force worksheet answers. Answer Key For Caculating Net Force - Displaying top 8 worksheets found for this concept. Some of the worksheets for this concept are Calculating net forces, Net forces work, Net force work, Forces work 1, Skill and practice work, Work 4 finding the net force, Name period date newtons laws of motion, Newtons second law of motion problems work. Oct 25, 2021 · Calculating Force Worksheet Answers. Calculating Force Worksheet Answers. Welcome to my personal website, with this moment I am going to provide you with about Calculating Force Worksheet Answers. Why don’t you consider picture earlier mentioned? is in which incredible???. if you think and so, I’l m show you a number of graphic all over again beneath: So, if you...Read More “Calculating ... Combine the amounts of the forces acting on the object d. To find the net force on an object. Give evidence to support your answer. To find the net force on an object. There is no change in the. Multiply the forces together c. Was gravity at play in any of the stations. Always subtract the amounts of the forces d. practice tests. "O Level Physics Worksheets" PDF book with answers covers problem solving in self-assessment workbook from physics textbooks with past papers worksheets as: Worksheet 1: Electromagnetic Waves MCQs Worksheet 2: Energy, Work and Power MCQs Worksheet 3: Forces MCQs Worksheet 4: General Wave Properties MCQs Worksheet 5: Heat Capacity

CALCULATING FORCE WORKSHEET ... Calculate the force in the following problems by using the equation: ... (3) give the answer with the correct units. CALCULATING FORCE WORKSHEET (Newton’s 2nd Law) Calculate the force in the following problems by using the equation: Force = mass x acceleration F = m a Be sure to (1) ALWAYS write the equation (2)plug in the numbers and units, (3) give the answer with the correct units. 1. A man hits a golf ball (0.2 kg) which accelerates at a rate of 20 m/s2. Suppose you want to calculate how much work it takes to lift a 160 N barbell. Besides the mass of the barbell, what other information do you need to know? the shape of the weights. how high the barbell is being lifted Work = Distance times Force. the strength of the person doing the lifting. None of the above . In the equation for work, F is ... For problems 6-9, using the formula net Force Mass Acceleration, calculate the net force on the obiect. 9 kg F = mea = 12 kg F mea = a 3 m/s a 4 m/s 5 kg F = mea = 200 kg a = 40 m/s 200 Al a = 6 m/s ) 200 10) Challenge: A student is pushing a 50 kg cart, with a force of 600 N. Another student measures the speed

Force = mass x acceleration F = m x a. Be sure to(1) ALWAYS write the equation, (2)plug in the numbers and units, and (3) give the answer with the correct ... V. Find the angle measurements between the resultant vector and force vector when two forces are applied to an object. 18. Two forces with magnitudes of 15 pounds and 10 pounds are applied to an object. The magnitude of the resultant is 24 pounds. Find the measurement of the angle between the resultant vector and the vector of the 10 pound force to CALCULATING FORCE WORKSHEET (Newton’s 2nd Law) Calculate the force in the following problems by using the equation: Force = mass x acceleration F = m a Be sure to (1) ALWAYS write the equation (2)plug in the numbers and units, (3) give the answer with the correct units. 1. A man hits a golf ball (0.2 kg) which accelerates at a rate of 20 m/s2 ... About This Quiz & Worksheet This worksheet and quiz will test what you know about calculating the resultant force. Answer interactive questions on topics like the resultant of two forces in...

6th Grade Science Force

6th Grade Science Force

This worksheet contains basic conceptual questions about calculating work, force, and distance.You can access the answer key, also a word and PDF document of this content from the following Product:Calculating Work, Force, and Distance - WorksheetFor updates about sales and new products, please foll

Net Force Worksheet Answers - Fill Out and Sign Printable PDF ...

Net Force Worksheet Answers - Fill Out and Sign Printable PDF ...

Speed velocity acceleration worksheet pdf unit 3 day 1 introduction docx unit 3 day 1 pptx unit 3 day 2 force and motion docx unit 3 day 2 pptx unit 3 day 3 calculating net forces ppt unit 3 day 3 net forces docx unit 3 day 4 daily sheet calculating speed docx unit 3 day 5 daily sheet calculating velocity docx unit 3 day 5 speed and velocity pptx.

Monday, December 18 - MS MCLARTY'S CLASSES

Monday, December 18 - MS MCLARTY'S CLASSES

Net Force Calculation Answers - Displaying top 8 worksheets found for this concept.. Some of the worksheets for this concept are Calculating net forces, Work 1 body or force diagrams, Fma work, Physics work solutions, Speed velocity and acceleration calculations work, Vector work, Exercises on force and motion exercise i, Forces newtons laws of motion.

Calculating Force Worksheet | Teachers Pay Teachers

Calculating Force Worksheet | Teachers Pay Teachers

20 terms. hudso001. Physics - Forces - Calculating Forces. vector quantity. scalar quantity. comparing vector and scalar quantities. Force. they have a magnitude and direction such as force, velocity, d…. they only have magnitude such as time, distance, speed, mass,….

Calculating Net Force worksheet

Calculating Net Force worksheet

Activity 2.1.7 Calculating Truss Forces Answer Key. Purpose. Because of the rigidity of a truss shape, it is not difficult to find the familiar triangles in many structures. Designers must accurately determine how much force occurs at locations of a truss design. The designer may change the material, the amount of material, or the number of ...

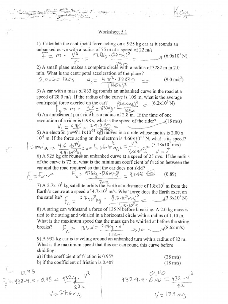
Worksheet 5.1 - Centripetal Force Key | PDF

Worksheet 5.1 - Centripetal Force Key | PDF

CALCULATING FORCE WORKSHEET Calculate the force in the following problems by using the equation: Force = mass x acceleration F = m x a Be sure to (1) ALWAYS write the equation, (2) plug in the numbers and units, and (3) give the answer with the correct units.

Force, Velocity, and Momentum Worksheet for 9th - 12th Grade ...

Force, Velocity, and Momentum Worksheet for 9th - 12th Grade ...

Momentum problems answer key cpo worksheet remember. Calculate the momentum of a 160 x 103 kg car traveling at 200 ms. Advanced Physics Unit 6 Worksheet 3 Forces Just Before Referring To Advanced Physics Persuasive Writing Prompts Word Problem Worksheets Chemistry Worksheets Physics 30 Lab Manual. Momentum worksheet answer key. Calculate the momentum of a […]

Pressure Force Area Questions | Worksheets and Revision | MME

Pressure Force Area Questions | Worksheets and Revision | MME

Calculating Net Forces - Examples. 225 Newtons (N) - unbalanced - to the right. 75 N – unbalanced – to the left. 0 N – balanced – no direction. 224 N – unbalanced – to the right. 13 N – unbalanced – to the left. 6011 N – unbalanced – to the left.

SOLUTION: Calculating net force p 19 answers practice - Studypool

SOLUTION: Calculating net force p 19 answers practice - Studypool

Calculate the force required to produce this acceleration. F=ma F=300 x 4 f= 1200N. 11. A 5 kg block is pulled across a table by a horizontal force of 40 N with a frictional force of 8 N opposing the motion. Calculate the acceleration of the object. F=ma 40N-8N=32N of force in a direction 32N=5(a) a=6.4 m/s2. 12.

Friction 2 Worksheet

Friction 2 Worksheet

Activity 2.1.4 Calculating Force Vectors Answer Key. Introduction. If guy wires are used to stabilize a tower, what is the minimum number of wires necessary? Imagine what would happen if you only used one or two wires. The guy wires work together so that the tower does not fall in any direction.

Net Force and F=ma practice worksheet | Persuasive writing ...

Net Force and F=ma practice worksheet | Persuasive writing ...

Name: Period: Date: CALCULATING FORCE WORKSHEET (Newton’s 2 nd Law) Calculate the force in the following problems by using the equation: Force = mass x acceleration F = m a Be sure to (1) ALWAYS write the equation (2)plug in the numbers and units, (3) give the answer with the correct units. 1. A man hits a golf ball (0.2 kg) which accelerates at a rate of 20 m/s 2.

Calculating Net Force – p. 19

Calculating Net Force – p. 19

CALCULATING FORCE WORKSHEET (1).doc - Name Period Date... This preview shows page 1 - 2 out of 3 pages. Name: Period: Date: CALCULATING FORCE WORKSHEET (Newton’s 2 nd Law) Calculate the force in the following problems by using the equation: Force = mass x acceleration F = m a Be sure to (1) ALWAYS write the equation (2)plug in the numbers and units, (3) give the answer with the correct units.

GCSE Physics Paper 2 - Resultant Force Calculations Worksheet ...

GCSE Physics Paper 2 - Resultant Force Calculations Worksheet ...

Strength of Materials Math Worksheet Answers 2 . 3. Part 1: Calculate the compressive force for the cross-sectional area shown in Figure 3. The original length of the member was 100-in long. After applying the compressive force, the member was 99-in long. The modulus of elasticity for the material used in the cross section is 10,000 lb/in 2

CALCULATING FORCE WORKSHEET

CALCULATING FORCE WORKSHEET

Net Force Worksheet Answers. Always subtract the amounts of the forces 4. Some of the worksheets for this concept are Forces newtons laws of motion Net force and acceleration Friction and net force work 2 Calculating net forces Forces work 1 Physics work work and energy Energy fundamentals lesson plan newtons.

Calculating net forces worksheet

Calculating net forces worksheet

CALCULATING FORCE WORKSHEET (Newton’s 2nd Law) Calculate the force in the following problems by using the equation: Force = mass x acceleration F = m a Be sure to (1) ALWAYS write the equation (2)plug in the numbers and units, (3) give the answer with the correct units. 1. A man hits a golf ball (0.2 kg) which accelerates at a rate of 20 m/s2.

Force, Mass, and Acceleration Worksheet by Soltis's Science Shop

Force, Mass, and Acceleration Worksheet by Soltis's Science Shop

Calculate the force required to produce this acceleration. 11. A 5 kg block is pulled across a table by a horizontal force of 40 N with a frictional force of 8 N opposing the motion. ... Practice Worksheet: Net Forces and Acceleration Author: David Lurie Created Date:

SOLUTION: Calculating net force p 19 answers practice - Studypool

SOLUTION: Calculating net force p 19 answers practice - Studypool

ID: 1744213 Language: English School subject: Science Grade/level: 9 Age: 13-17 Main content: Calculating moments of a force Other contents: Moments force distance Add to my workbooks (12) Download file pdf Embed in my website or blog Add to Google Classroom

Calculate Force, Mass and Acceleration: Science Mystery ...

Calculate Force, Mass and Acceleration: Science Mystery ...

Dec 13, 2019 - A Calculating Force Worksheet Answers is a few short questionnaires on a special topic. A worksheet can be ready for any subject.

2.1.4 Calculating Force Vectors - Principles of Engineering

2.1.4 Calculating Force Vectors - Principles of Engineering

ID: 2351881 Language: English School subject: Science Grade/level: 5 Age: 7-13 Main content: Forces Other contents: Add to my workbooks (8) Embed in my website or blog Add to Google Classroom

Centripetal Force Worksheet - Lighthouse Christian Academy

Centripetal Force Worksheet - Lighthouse Christian Academy

CALCULATING FORCE WORKSHEET (Newton’s 2nd Law) Calculate the force in the following problems by using the equation: Force = mass x acceleration F = m a. Be sure to (1) ALWAYS write the equation (2)plug in the numbers and units, (3) give the answer with the correct units. 1. A man hits a golf ball (0.2 kg) which accelerates at a rate of 20 m/s2.

CALCULATING FORCE WORKSHEET - St. Francis ... FORCE...Web ...

CALCULATING FORCE WORKSHEET - St. Francis ... FORCE...Web ...

CALCULATING FORCE WORKSHEET ... Calculate the force in the following problems by using the equation: ... (3) Give the answer with the correct units.

Calculating Forces Worksheet 1

Calculating Forces Worksheet 1

Elastic energy calculations | Teaching Resources

Elastic energy calculations | Teaching Resources

Calculate the net force worksheet

Calculate the net force worksheet

Physical Science Dec. 3-7 | Mrs. Garchow's Classroom- 8th ...

Physical Science Dec. 3-7 | Mrs. Garchow's Classroom- 8th ...

NAME per ___ date_______ mailbox________ CALCULATING FORCE ...

NAME per ___ date_______ mailbox________ CALCULATING FORCE ...

Conceptual Forces Worksheet

Conceptual Forces Worksheet

Net Force Worksheet #2_with key

Net Force Worksheet #2_with key

READ PRACTICE PRACTICE 8th Grade Science Choice Board Week of ...

READ PRACTICE PRACTICE 8th Grade Science Choice Board Week of ...

Calculating Resultant Forces: Worksheet + answers | Teaching ...

Calculating Resultant Forces: Worksheet + answers | Teaching ...

Activity 2.1.4 Calculating Force Vectors Answer Key ...

Activity 2.1.4 Calculating Force Vectors Answer Key ...

Net Force AP Worksheet Answers

Net Force AP Worksheet Answers

Resultant Forces worksheet

Resultant Forces worksheet

2.1.4 Calculating Force Vectors

2.1.4 Calculating Force Vectors

Calculating Work Worksheet

Calculating Work Worksheet

Net Force Worksheet | Teachers Pay Teachers

Net Force Worksheet | Teachers Pay Teachers

Calculating work worksheet(answer key)

Calculating work worksheet(answer key)

Andrew Hampson - Free Fall Gizmo.pdf - Name Period Date ...

Andrew Hampson - Free Fall Gizmo.pdf - Name Period Date ...

F = ma Worksheet 1-answers.pdf - CALCULATING FORCE WORKSHHET ...

F = ma Worksheet 1-answers.pdf - CALCULATING FORCE WORKSHHET ...

Solved Net Forces and Newton's second law Worksheet Name: 1 ...

Solved Net Forces and Newton's second law Worksheet Name: 1 ...

Forces and Acceleration Worksheet with Answers | Teaching ...

Forces and Acceleration Worksheet with Answers | Teaching ...

Work Force X Distance Worksheet

Work Force X Distance Worksheet

0 Response to "42 calculating force worksheet answers"

Post a Comment

Iklan Atas Artikel

Iklan Tengah Artikel 1

Iklan Tengah Artikel 2

Iklan Bawah Artikel